Expand ВведениеВведение
Expand АдминистрацияАдминистрация
Expand Интерфейс пользователяИнтерфейс пользователя
Expand Основные принципы SOLIDWORKSОсновные принципы SOLIDWORKS
Expand Переход из  2D в 3DПереход из 2D в 3D
Expand СборкиСборки
Expand CircuitWorksCircuitWorks
Expand КонфигурацииКонфигурации
Expand SOLIDWORKS CostingSOLIDWORKS Costing
Expand Design CheckerDesign Checker
Expand Исследования проектирования в SOLIDWORKSИсследования проектирования в SOLIDWORKS
Expand Чертежи и оформлениеЧертежи и оформление
Expand DFMXpressDFMXpress
Expand DriveWorksXpressDriveWorksXpress
Expand FloXpressFloXpress
Expand Обмен данными SLDXMLОбмен данными SLDXML
Expand Импорт и экспортИмпорт и экспорт
Expand Отображение моделиОтображение модели
Expand Проектирование литейной формыПроектирование литейной формы
Expand Исследования движенияИсследования движения
Expand Детали и элементыДетали и элементы
Expand МаршрутМаршрут
Expand Листовой металлЛистовой металл
Collapse SimulationSimulation
Добро пожаловать в Справку по SOLIDWORKS Simulation
Открытие и использование справки
Юридическая информация
Справочные сведения SOLIDWORKS Simulation
Expand Основные принципы SOLIDWORKS SimulationОсновные принципы SOLIDWORKS Simulation
Expand Предпосылки анализаПредпосылки анализа
Expand Настройки моделированияНастройки моделирования
Expand Исследования SimulationИсследования Simulation
Expand Исследования подмоделейИсследования подмоделей
Expand Исследования проектированияИсследования проектирования
Expand Поток работы для выполнения 2D упрощенияПоток работы для выполнения 2D упрощения
Collapse Составные оболочкиСоставные оболочки
Expand Нагрузки и ограниченияНагрузки и ограничения
Expand Создание сеткиСоздание сетки
Expand Анализ контактовАнализ контактов
Expand Материалы SimulationМатериалы Simulation
Expand НастройкиНастройки
Expand Элементы библиотеки анализовЭлементы библиотеки анализов
Expand Просмотр результатов анализаПросмотр результатов анализа
Expand Отчеты исследованийОтчеты исследований
Expand Проверка запаса прочностиПроверка запаса прочности
Expand SimulationXpressSimulationXpress
Expand Создание эскизаСоздание эскиза
Expand SOLIDWORKS MBD SOLIDWORKS MBD
Expand SOLIDWORKS UtilitiesSOLIDWORKS Utilities
Expand SOLIDWORKS SustainabilitySOLIDWORKS Sustainability
Expand ОтклоненияОтклонения
Expand TolAnalystTolAnalyst
Expand ToolboxToolbox
Expand Сварные деталиСварные детали
Expand Workgroup PDMWorkgroup PDM
Expand Устранение неполадокУстранение неполадок
Глоссарий
Скрыть содержание

Критерий разрушения Tsai-Wu

Критерий Tsai-Wu применяется для определения запаса прочности композитных ортотропных оболочек.

Настоящий критерий учитывает суммарную энергию деформации (энергия формоизменения и энергию расширения) для прогнозирования разрушений. Данный критерий более полный, чем критерий разрушения Tsai-Hill, так как он различает пределы прочности на сжатие и растяжение.

Для состояния напряжения 2D (двухмерной) плоскости (σ3 = 0, τ13 =0, τ23 =0) критерий разрушения Tsai-Wu выражается следующим образом:

TsaiWU_Failure_Index

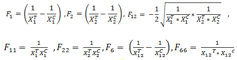
Коэффициенты Fij в ортотропном критерии разрушения Tsai-Wu связаны с параметрами прочности слоистого материала и определяются экспериментально. Они вычисляются по следующим формулам:

TsaiWu_Coefficients

XT 1 предел прочности слоистого материала при растяжении вдоль направления волокон
XC 1 предел прочности слоистого материала при сжатии вдоль направления волокон
XT 2 предел прочности слоистого материала при растяжении поперек направления волокон
XC 2 предел прочности слоистого материала при сжатии поперек направления волокон
XT 12 положительный предел прочности слоистого материала при сдвиге
XC 12 отрицательный предел прочности слоистого материала (решающая программа считает его равным положительному пределу прочности)

Состояние напряжения слоистого материала, вычисляемое программой, описывается следующими компонентами: σ1, σ2 и τ12

σ1 напряжение слоистого материала вдоль направления волокон
σ2 напряжение слоистого материала поперек направления волокон
τ12 Напряжение сдвига слоистого материала

Направления составных слоистых материалов

composite_material_directions.gif

Направление 1 относится к направлению волокон слоя.

Направление 2 относится к направлению поперек волокон по отношению к плоскости слоя.

Запас прочности

Программа сообщает коэффициент безопасности, на который следует умножить все компоненты напряжения слоистого материала, чтобы добиться условий разрушения слоистого материала, соответствующих сформулированному выше критерию Tsai-Wu. Коэффициент безопасности для разрушения слоистого материала вычисляется по формуле:

Tsai-Wu_FOS, где коэффициенты заданы следующим образом:

Tsai-Wu_FOS_Coefficients

Если запас прочности больше 1,0, данный слоистый материал безопасен в отношении разрушения.

Критерий разрушения Tsai-Wu не прогнозирует различные формы разрушений, включая разрушение волокон, матрицы и волоконно-матричного сопряжения.


Оставьте отзыв об этом разделе

SOLIDWORKS благодарит Вас за отзыв по поводу представления, точности и полноты документации. Воспользуйтесь формой ниже, чтобы отправить свои комментарии и предложения о данном разделе справки в Отдел документации. Отдел документации не предоставляет ответы на вопросы по технической поддержке. Нажмите здесь для получения информации о технической поддержке.

* Обязательно

 
*Электронная почта:  
Тема:   Отзывы по поводу разделов Справки
Страница:   Критерий разрушения Tsai-Wu
*Отзыв:  
*   Я подтверждаю, что прочитал(а) и принимаю положения политики конфиденциальности, в соответствии с которыми Dassault Systèmes будет использовать мои персональные данные.

Печать разделов

Выберите содержимое для печати:

x

Вы используете более раннюю версию браузера, чем Internet Explorer 7. Для оптимизации отображения рекомендуется обновить Ваш браузер до версии Internet Explorer 7 или новее.

 Больше не отображать это сообщение
x

Версия содержимого веб-справки: SOLIDWORKS 2016 SP05

Чтобы отключить веб-справку в программе SOLIDWORKS и использовать локальную версию справки, нажмите Справка > Использовать веб-справку по SOLIDWORKS .

По проблемам, связанным с интерфейсом и поиском по веб-справке, обращайтесь к местному представителю службы поддержки. Чтобы оставить отзыв по отдельным темам справки, воспользуйтесь ссылкой "Отзыв об этом разделе" на странице нужного раздела.