Convection

La convection est un phénomène d'échange de chaleur dans lequel la chaleur est transférée d'une surface solide vers un fluide (ou un gaz) en mouvement. La convection se compose de deux éléments :
  • Transfert d'énergie causé par un mouvement moléculaire aléatoire (diffusion).
  • Transfert d'énergie par un mouvement volumique ou macroscopique du fluide (advection).
Le mécanisme de la convection peut être expliqué de la manière suivante : au fur et à mesure que la couche de fluide adjacente à la surface chaude s'échauffe, sa densité diminue (à une pression constante, la densité est inversement proportionnelle à la température), et la couche devient flottante. Un fluide plus froid (plus lourd) près de la surface remplace le fluide plus chaud et il en résulte un certain mode de circulation.

La quantité de chaleur échangée entre le fluide à température Tf et la face d'un solide d'une zone A à une température Ts obéit à la loi de Newton sur le refroidissement et peut être exprimée ainsi :

Qconvection = h A (Ts - Tf)

où h est le coefficient de transfert thermique par convection. Les unités de h sont W/m2.K ou Btu/s.in2.F. Le coefficient de transfert thermique par convection (h) dépend du mouvement du fluide, de la géométrie et des propriétés thermodynamiques et physiques.

En principe, il existe deux modes de transfert thermique par convection :

Convection naturelle (libre)

Le mouvement du fluide le long de la surface solide est dû aux poussées induites par les changements dans la densité du fluide résultant de la différence de température entre le solide et le fluide. Lorsqu'une plaque chaude est immergée dans un fluide froid, les particules de fluide en contact avec la plaque se réchauffent et leur densité diminue, ce qui provoque leur mouvement vers le haut.

Convection forcée

Un moyen extérieur, comme un ventilateur ou une pompe, est employé pour accélérer le mouvement du fluide au niveau de la surface du solide. Le mouvement rapide des particules du fluide sur la face du solide permet d'atteindre une valeur maximum du gradient de température, ce qui augmente le taux d'échange thermique. Dans l'illustration suivante, l'air est forcé au-dessus d'une plaque chaude.

Coefficient de transfert thermique par convection

Selon la loi de Newton sur le refroidissement, le taux de transfert thermique entre une surface à une température Ts et un fluide environnant à une température Tf est représenté par l'équation :

Qconvection = h A (Ts - Tf)

L'unité du coefficient de transfert thermique h est W/m2.K ou Btu/s.in2.F. Le coefficient h n'est pas une propriété thermodynamique. Il représente une corrélation simplifiée à l'état de fluide et aux conditions de flux et est, pour cette raison, souvent appelé une propriété de flux.

La convection est liée au concept d'une couche limite constituant une couche mince de transition entre une surface supposée adjacente aux molécules stationnaires et le flux de fluide environnant. Reportez-vous à l'illustration suivante pour observer un flux sur une plaque plate.

u(x,y) représente la vitesse dans la direction x. La région jusqu'au bord externe de la couche de fluide, définie comme étant égale à 99 % de la vitesse du flux libre, est appelée l'épaisseur de la couche limite de fluide δ(x).

Une représentation semblable pourrait être faite de la transition de la température passant de la température de la surface à la température de l'environnement. Un schéma de la variation de température est illustré par la figure suivante. Remarquez que l'épaisseur de la couche limite thermique n'est pas nécessairement la même que celle du fluide. Les propriétés de fluide formant le nombre de Prandtl régissent l'ampleur relative des deux types de couches limites. Un nombre de Prandtl (Pr) de 1 signifie que les deux couches limites auront le même comportement.

Le mécanisme actuel du transfert thermique à travers la couche limite est interprété comme étant de la conduction, dans la direction y, à travers le fluide stationnaire près de la paroi, avec un taux égal au taux de convection de la couche limite vers le fluide. La formule peut s'écrire ainsi :

h A (Ts - Tf) = - k A (dT/dy)s

Ainsi, le coefficient de convection pour une situation donnée peut être évalué en mesurant le taux de transfert thermique et la différence de température ou en mesurant le gradient de température adjacent à la surface et la différence de température.

La mesure d'un gradient de température sur une couche limite requiert une précision élevée et est généralement prise dans un laboratoire de recherche. La plupart des manuels contiennent des valeurs tabulées des coefficients de transfert thermique par convection pour les différentes configurations.

Le tableau ci-dessous indique quelques valeurs type du coefficient de transfert thermique par convection :

Milieu Coefficient de transfert thermique h (W/m2.K)
Air (convection naturelle) 5-25
Air/vapeur surchauffée (convection forcée) 20-300
Huile (convection forcée) 60-1800
Eau (convection forcée) 300-6000
Eau (bouillante) 3000-60,000
Vapeur (en condensation) 6000-120,000

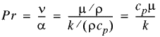
Nombre de Prandtl

Le nombre de Prandtl est un paramètre qui exprime l'épaisseur de la vitesse et des couches limites thermiques et qui se traduit ainsi :

avec ν représentant la viscosité cinématique, α la diffusivité thermique, ρ la densité du fluide, κ la conductivité thermique du fluide et cp la capacité thermique du fluide à une pression constante.

La viscosité cinématique ν d'un fluide donne des informations sur le taux auquel la quantité de mouvement peut être diffusée par le fluide en raison du mouvement moléculaire. La diffusivité thermique α donne des informations sur la diffusion de la chaleur dans le fluide. Ainsi, le ratio de ces deux quantités exprime les ampleurs relatives de diffusion de quantité de mouvement et de chaleur dans le fluide.