Modèle linéaire élastique isotropique

Un matériau est dit isotropique lorsque ses propriétés ne varient pas avec la direction.

Les matériaux isotropiques ont les mêmes module d'élasticité, coefficient de Poisson, coefficient de dilatation thermique, conductivité thermique, etc. dans toutes les directions. Le terme isothermique est parfois utilisé pour désigner des matériaux sans directions préférées pour les coefficients de dilatation thermique.

Pour définir les propriétés d'élasticité isotropique, vous devez spécifier le module d'élasticité E. Le programme utilise une valeur de 0,0 pour le coefficient de Poisson v, si aucune valeur n'est spécifiée. 0,3 est une valeur couramment utilisée pour le coefficient de Poisson.

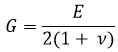
Le module de cisaillement G est calculé en interne par le programme à partir de la formule :

Vous n'avez pas besoin de saisir de valeur pour un module de cisaillement dans le cas d'un matériau isotropique élastique linéaire. Si vous saisissez une valeur pour le module de cisaillement, le programme l'ignore et calcule le module de cisaillement à l'aide de la formule ci-dessus.

La matrice de raideur pour un matériau isotropique contient uniquement deux coefficients indépendants. Les sections suivantes décrivent les relations contrainte-déformation isotropiques en deux et trois dimensions, y compris l'effet des déformations thermiques.

La forme la plus générale des relations de contrainte-déformation isotropiques, y compris les effets thermiques, est illustrée ci-dessous :