En interne, SOLIDWORKS Simulation représente un connecteur d'axe comme une poutre avec une raideur axiale ou de rotation spécifiée. Chaque nœud d'extrémité de la poutre se trouve au centre de gravité de la face cylindrique connectée (ou arête de coque).
Dans une connexion rigide, les éléments de barre rigide connectent les nœuds d'extrémité de la poutre aux nœuds de la face cylindrique. Toutes les faces connectées à l'axe restent coaxiales sous l'effet d'un chargement et conservent leur forme d'origine. Ces faces cylindriques peuvent se déplacer en tant que corps rigide les unes par rapport aux autres en fonction de la rigidité axiale et en rotation caractéristique du connecteur d'axe. Suite à l'introduction de régions rigides, vous pouvez observer des zones de points sensibles de contrainte près du connecteur d'axe. Les points sensibles de contrainte diminuent progressivement avec la distance, jusqu'à ce qu'ils disparaissent dans les régions situées à environ un diamètre des faces cylindriques.
Dans les études statiques linéaires uniquement, vous pouvez sélectionner une formulation de couplage distribuée pour les connecteurs d'axe. La distribution du couplage limite le mouvement des nœuds des faces cylindriques associées (nœuds de couplage) à la translation et la rotation du nœud d'extrémité de poutre (nœud de référence) dans un sens moyen. Une connexion distribuée permet aux nœuds de couplage d'une face cylindrique de se déplacer les uns par rapport aux autres. Le type de connexion distribuée produit des champs de contrainte et de déplacement plus réalistes à proximité des connecteurs d'axe.
La raideur axiale d'un axe définit le mouvement axial relatif entre les faces cylindriques (ou les arêtes circulaires) connectées à un axe. La raideur de rotation d'un axe définit le mouvement de rotation relatif entre les faces cylindriques (ou les arêtes circulaires). Pour un axe raccordant plusieurs faces ou arêtes cylindriques, le logiciel redistribue la raideur axiale et de rotation en fonction des caractéristiques géométriques de chaque segment d'axe (comme l'aire de la section, le moment d'inertie polaire et la longueur). Un segment d'axe connecte deux faces cylindriques consécutives et possède deux articulations d'extrémité. Chaque articulation de tourillon se trouve au centre de gravité de la face cylindrique ou de l'arête circulaire connectée.
Liste des forces dans les connecteurs d'axe
Le solveur calcule les forces dans les connecteurs aux deux articulations d'extrémité de chaque segment d'axe.
Par exemple, pour une définition d'axe unique connectant quatre cylindres d'une plaque pivotante, comme illustré ci-dessous, le solveur calcule et répertorie les forces de l'axe au niveau des quatre articulations à tourillon. Chaque articulation à tourillon se trouve au centre de chaque face cylindrique connectée à un axe.
Le logiciel répertorie quatre forces par articulation de connecteur par rapport au système de coordonnées local de l'axe. Une image de la coupe transversale d'un axe avec les forces calculées au niveau de l'articulation est présentée en illustration.
-
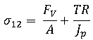
FA = force axiale traversant la coupe transversale de l'axe
Une force axiale positive indique que le segment d'axe est sous tension ; une force axiale négative indique une compression. Le logiciel désigne les charges appliquées sur un segment d'axe en tant que chargements de connecteur au niveau des articulations à tourillon. Aucun équilibrage des charges sur le segment d'axe n'est pris en compte pour la liste de chargements de connecteur aux articulations.
- FA = force de cisaillement traversant la coupe transversale de l'axe
- Mb = moment de flexion
- T = Moment de torsion
Pour les articulations à tourillon communes aux segments d'axe consécutifs, par exemple l'articulation 2 dans la figure ci-dessous, le solveur calcule deux ensembles de forces de connecteur d'axe pour le côté gauche et le côté droit de l'articulation commune. L'image présente une coupe transversale d'un connecteur d'axe dont deux segments (de couleur bleue) sont rattachés à trois faces cylindriques.
Le rayon d'un connecteur d'axe, R, correspond au rayon de la face cylindrique ou de l'arête circulaire rattachée à l'axe. Les segments d'axe d'une définition de connecteur d'axe unique peuvent avoir différents rayons.
Le solveur calcule les contraintes de von Mises pour les côté gauche et droit de l'articulation commune. Le logiciel compare les contraintes de von Mises et répertorie l'ensemble des forces de l'axe (à partir du côté gauche ou droit) qui génère la contrainte de von Mises la plus élevée.
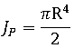
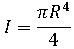
La contrainte de von Mises dans le cas d'une contrainte plane générale est calculée comme suit :

,
,
, 
Pour le contrôle de sécurité Validé/Non validé d'un connecteur d'axe, le logiciel sélectionne l'articulation à tourillon dont les charges combinées sont maximales en fonction du critère de contrainte von Misses pour évaluer le coefficient de sécurité de l'axe. Voir la rubrique Aide de SOLIDWORKS Simulation : Connecteur d'axe - Contrôle de sécurité