Echanges par radiation entre surfaces (radiation de surface à surface)

L'équation mentionnée dans la section précédente pour le taux d'échange d'énergie par radiation entre un corps gris et le milieu environnant, supposait que le corps rayonnant puisse uniquement voir le grand corps noir englobant (qui représente le milieu environnant). Par conséquent, toutes les énergies émises par le petit corps rayonnant sont supposées être absorbées par le milieu environnant.

Dans les cas où deux corps rayonnants échangent une énergie rayonnante partiellement, le facteur de vue de radiation (F) devrait être introduit.

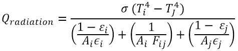
Le facteur de vue de radiation de la surface l par rapport à la surface j est défini comme le ratio de l'énergie rayonnée de la face l et atteignant directement la surface j par rapport à l'énergie totale quittant la surface l. En conservant cette définition à l'esprit, l'échange net de chaleur par radiation entre une surface de superficie Al et la température Tl et une surface de superficie Aj et la température Tj est obtenu ainsi :

où :

Fij représente le facteur de vue de la surface i par rapport à la surface j

εi représente l'émissivité de la surface i.

σ est la constante de Stefan-Boltzmann.

Lorsque les deux surfaces ont des valeurs différentes d'émissivité εi et εj, l'échange thermique par rayonnement net entre les surfaces est donné par :