Modello iperelastico Mooney-Rivlin

La funzione densità energia di deformazione Mooney-Rivlin è espressa come:

Costanti del materiale Mooney-Rivlin Equazione della densità di energia
Formulazione a due costanti
Formula a cinque costanti
Formulazione a sei costanti

  • JI, J2 e J3 sono le varianti ridotte del tensore di deformazione Cauchy-Green corretto e possono essere espresse in termini di rapporti degli stiramenti principali
  • A, B, C, D, E e F sono le costanti del materiale First, Second, Third, Fourth, Fifth e Sixth del modello del materiale Mooney-Rivlin. Queste costanti vengono immesse nella finestra di dialogo Proprietà del materiale.
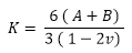
  • , = coefficiente di Poisson

Si osservi che man mano che il materiale si avvicina all'incomprimibilità, la terza invariante, III, si avvicina a 1, mentre K tende a infinito. Quindi, per i valori del coefficiente di Poisson vicini a 0,5, l'ultimo termine in W1 rimane unito e si potrà ottenere una soluzione.

Il modello di materiali Mooney-Rivlin può essere utilizzato con elementi solidi e shell spessi.

Le costanti Mooney-Rivlin sono calcolate automaticamente quando l'opzione Usa i dati della curva per calcolare le costanti del materiale nella finestra Materiale è selezionata. Le costanti sono salvate in un file di testo con estensione .log nella cartella dei risultati lo studio attivo.