Seleccione los elementos, establezca las opciones y vea los resultados de cálculos de propiedades físicas.
Para abrir el cuadro de diálogo Propiedades físicas:
- Haga clic en Propiedades físicas
(barra de herramientas Herramientas) o en .
Elementos seleccionados
|
Seleccione los elementos para los que desee calcular o asignar propiedades físicas. Al agregar, eliminar o cambiar elementos, haga clic en Recalcular para visualizar nuevos valores. |
Opciones
|
Inicia un cuadro de diálogo donde puede establecer las opciones para visualizar los resultados utilizando diferentes unidades de medida. Consulte Cuadro de diálogo Opciones de propiedades físicas/de sección. |
Reemplazar las propiedades de masa
|
Inicia un cuadro de diálogo donde puede reemplazar los valores para la masa, el centro de masa, y de los momentos de la inercia. Consulte Cuadro de diálogo Reemplazar las propiedades de masa. Si un ensamblaje contiene componentes con propiedades físicas que se han reemplazado, esos componentes aparecen en la parte inferior del cuadro de diálogo Propiedades físicas.
|
Incluir sólidos/componentes ocultos
|
Seleccione para incluir sólidos y componentes en los cálculos. |
Crear operación de centro de masa
|
Agrega una operación de Centro de masa al modelo. |
Informar de valores de coordenadas relativos a
|
Seleccione un sistema de coordenadas si ha definido uno. |
Imprimir
|
Imprime los resultados directamente desde este cuadro de diálogo. |
Copiar al portapapeles
|
Copia los resultados al portapapeles. |
Puede actualizar la información de las propiedades físicas cuando se guarda el documento. Esto mejora el rendimiento del sistema, puesto que la próxima vez que acceda a las propiedades físicas, el sistema no necesitará volver a calcular los valores (si el documento no ha cambiado). Para establecer esta opción, haga clic en y seleccione Actualizar las propiedades físicas al guardar el documento.
Resultados
Enumera las propiedades físicas siguientes:
- Densidad
- Mass
- volumen
- Área de superficie
- Centro de masa
- Ejes de inercia principales
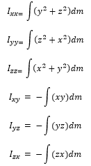
- Momentos de inercia y productos de inercia
En la zona de gráficos, un sistema de referencia de un solo color indica los ejes y el centro principales de masa del modelo. Originalmente se visualiza un sistema de referencia tricolor en 3D.
Puede utilizar las propiedades físicas al definir propiedades personalizadas y específicas de la configuración. Haga clic en . En el cuadro de diálogo Propiedades, seleccione la pestaña Personalizar o la pestaña Propiedades de configuración y haga clic en Valor/Expresión de texto para tener acceso a una lista desplegable que contiene las propiedades físicas.
Los momentos de inercia y productos de inercia se calculan de acuerdo con las siguientes definiciones:
 |
 |
Anotación positiva del tensor |
Anotación negativa del tensor |
La matriz de tensor de inercia se define en los momentos de inercia:
 |
 |
Anotación positiva del tensor |
Anotación negativa del tensor |