Expand はじめにはじめに
Expand 管理管理
Expand ユーザー インターフェースユーザー インターフェース
Expand SolidWorks の基礎 SolidWorks の基礎
Expand 2D から 3D へ移行2D から 3D へ移行
Expand アセンブリアセンブリ
Expand CircuitWorksCircuitWorks
Expand コンフィギュレーションコンフィギュレーション
Expand CostingCosting
Expand Design CheckerDesign Checker
Expand SolidWorksにおけるデザイン スタディSolidWorksにおけるデザイン スタディ
Expand 詳細設定と図面詳細設定と図面
Expand DFMXpressDFMXpress
Expand DriveWorksXpressDriveWorksXpress
Expand FloXpressFloXpress
Expand インポート/エクスポートインポート/エクスポート
Expand モデル表示モデル表示
Expand モールド設計モールド設計
Expand モーション スタディモーション スタディ
Expand 部品とフィーチャー 部品とフィーチャー
Expand ルーティングルーティング
Expand 板金板金
Collapse SimulationSimulation
Expand SimulationXpressSimulationXpress
Expand スケッチングスケッチング
Expand Sustainability 製品Sustainability 製品
Expand SolidWorks UtilitiesSolidWorks Utilities
Expand 公差公差
Expand TolAnalystTolAnalyst
Expand ToolboxToolbox
Expand 溶接溶接
Expand Workgroup PDMWorkgroup PDM
Expand トラブルシューティングトラブルシューティング
用語集
目次を表示しない

解析方法 - 調和(Analysis Procedure - Harmonic)

調和解析は調和荷重に対するシステムの定常最大応答を評価します。

各解析ステップで、すべての加えられた荷重と地盤振動は同一周波数を持つとします。大きさは関連する固有値カーブによって定義されます。

調和節点力ベクトル {P} は次のように仮定します:

(関係式 1) あるいは (関係式 2)

ここで、

Pk は kth 自由度方向の力の大きさ

ω は励振周波数

γk は力の方位角です。

線形システムでは、システムの運動方程式は n モーダル方程式に結合解除されます:

(関係式 3)

力ベクトル {P} を (関係式 3) に置き換えると次の結果になります:

(関係式 4) ここで、

(関係式 5)

定常解析の結果を (関係式 4) にすると:

(関係式 6)

(関係式 6) の実数部は:

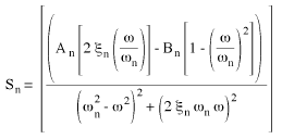
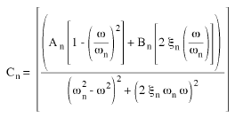
(関係式 7) ここで、

(関係式 8)と

(関係式 9)

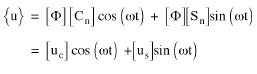
変位ベクトル u は次により与えられます:

(関係式 10) あるいは

(関係式 11)

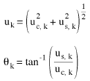
kth 自由度における変位 uk の大きさと対応位相角 θk は:

(関係式 12)

速度と加速度の応答は (関係式 11) の導関数によって導かれます。振幅は:

(関係式 13)

速度と加速度の位相角は、変位位相角に対して 90°と 180°ほどずれます。



トピックについてフィードバックを送信

ヘルプに関してフィードバックを送信することができます。しかし、ドキュメンテーション グループはテクニカル サポートに関する質問に答えることはできません。 テクニカル サポートに関する情報はここをクリックしてください

* 必要項目

 
*電子メール:  
件名:   トピックのフィードバック
ページ:   解析方法 - 調和(Analysis Procedure - Harmonic)
*コメント:  
*   プライバシー ポリシーを読み、個人情報が Dassault Systèmes によって使用されることに同意します。

トピックの印刷

印刷するコンテンツの範囲を選択:

x

Internet Explorer 7 より古いブラウザ バージョンが検知されました。 表示を最適化するにはInternet Explorer 7 以上のブラウザ バージョンにアップグレードしてください。

 今後このメッセージを表示しない
x

Web ヘルプ コンテンツ バージョン: SOLIDWORKS 2013 SP05

SOLIDWORKS で Web ヘルプを無効にして、ローカル ヘルプを使用するには、ヘルプ > SOLIDWORKS Web ヘルプ使用 をクリックしてください。

Web ヘルプのインタフェースや検索機能に関する問題は、お客様のサポート担当者までご連絡ください。各トピック ページの「トピックについてフィードバックする」リンクを使用し、各ヘルプ トピックについてフィードバックを送信することもできます。