Blatz-Ko 歪みエネルギー密度関数は、圧縮性ポリウレタン フォーム タイプのゴムをモデル化するのに便利です。次の方程式で表されます。

ここで、
- G = E / 2(1+ν) は無限小変形下のせん断係数、E は弾性のヤング率、ν はポアソン比です。
- Ik (k=1,..3) は Cauchy-Green 変形テンソル C=Ik ©)
- C = 2ε +I、ε は Lagrangian 歪テンソル、I は恒等行列です。
上の式には材料定数 G が 1 つだけ含まれています。Blatz-Ko モデルでは ν = 0.25 なので、唯一の材料特性としてヤング率だけが考慮されます。

現在、Blatz-Ko モデルは固体要素(ドラフト精度および高精度)のみにサポートされています。
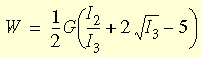
選択された Blatz-Ko モデルは、非常に圧縮性の高いポリウレタン フォームのゴムの変形をモデル化するために Blatz および Ko が考案した方程式 (1962 年) を簡略化したものです。歪みエネルギーは、次の方程式によって近似化されました。

ここで

後に弾性ポテンシャルの 3 つのパラメータの特定の形態が、定数値 α, β, and ν を次のように仮定することが提案されました。α = 0.5、β = 0、ν = 0.25。