Expand はじめにはじめに
Expand 管理管理
Expand ユーザー インターフェースユーザー インターフェース
Expand SolidWorks の基礎 SolidWorks の基礎
Expand 2D から 3D へ移行2D から 3D へ移行
Expand アセンブリアセンブリ
Expand CircuitWorksCircuitWorks
Expand コンフィギュレーションコンフィギュレーション
Expand CostingCosting
Expand Design CheckerDesign Checker
Expand SolidWorksにおけるデザイン スタディSolidWorksにおけるデザイン スタディ
Expand 詳細設定と図面詳細設定と図面
Expand DFMXpressDFMXpress
Expand DriveWorksXpressDriveWorksXpress
Expand FloXpressFloXpress
Expand インポート/エクスポートインポート/エクスポート
Expand モデル表示モデル表示
Expand モールド設計モールド設計
Expand モーション スタディモーション スタディ
Expand 部品とフィーチャー 部品とフィーチャー
Expand ルーティングルーティング
Expand 板金板金
Collapse SimulationSimulation
Expand SimulationXpressSimulationXpress
Expand スケッチングスケッチング
Expand Sustainability 製品Sustainability 製品
Expand SolidWorks UtilitiesSolidWorks Utilities
Expand 公差公差
Expand TolAnalystTolAnalyst
Expand ToolboxToolbox
Expand 溶接溶接
Expand Workgroup PDMWorkgroup PDM
Expand トラブルシューティングトラブルシューティング
用語集
目次を表示しない

積分法(Methods of Integration)

不規則振動解析スタディでは次の積分法が使用されます。

標準解析法(Standard Method)

不規則振動解析の標準解析法は次のようになります:
  1. 各固有モードの周りで特定の周波数点が選択されます。 これらの点の位置は、バイアス パラメータ値 p に依存します。

    バイアス パラメータが 1.0 の場合、すべての周波数点は固有周波数の間に均一に分布されます。 バイアス パラメータが 1.0 より大きい場合、点は固有周波数の近くで選択されます。 周波数点とバイアス パラメータのデフォルト値は、1 次モードの減衰比 ζ の関数として与えられます。周波数点の選択に関する図を参照するには、ここをクリックします。

    ζ の関数としての周波数点とバイアス パラメータのデフォルト値は次のようになります。

    モーダル減衰比 周波数(デフォルト) バイアス パラメータ(デフォルト)
    ζ < 0.01 21 11
    0.01 < ζ < 0.1 21-4.34 ln(ζ /0.01) 11-3.47 ln(ζ /0.01)
    ζ > 0.1 11 3

    周波数点数バイアス パラメータの両方にゼロ(0)が定義されている場合、表 1 にあるデフォルト値が適用されます。

  2. 応答のモーダル PSD は各周波数点で評価されます。 周波数比の限界(RATIO)により、あらゆる可能な組み合わせの固有値(wi / wj, i > j)が制限されます。

    これは、各モードで wi / wj > RATIO の場合、相互スペクトル密度条項は無視されるということです。 RATIO =1 の場合、周波数比の限界は無視されます。

  3. そこで、モーダル PSD は指定固有値範囲において数値積分され、2乗平均値とモーダル応答の共分散をもたらします。 数値積分は、log-log プロットを基に各周波数の間隔において Gauss 積分法の 2 次オーダーあるいは 3 次オーダーを使用し、実行されます。 応答の2乗平均値は、間隔の影響を加算することによって得ることができます。
  4. 最後に、モーダルから節点への変換により、システムの RMS 変位、速度、そして加速度がもたらされます。

近似解析法(Approximate Method)

積分法の標準解析法は、大規模な行列の数値積分であるため、計算に時間がかかります。積分法の近似解析法では、次の仮定を基に簡易解が行われます:
  • モード間の応答 Sx(ω) を、つまりモードが別のモードに及ぼす影響を無視することで次のようになります:

    (関係式 1)

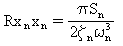
  • 各モードにおいて、励振 PDS が一定とみなされます。そのため、各モードがスペクトル密度 Sn を持つ白色雑音(white noise)によって励振されると仮定されます。ここで:

    (関係式 2)

    ωn はモード n の固有周波数 (n = 1,2,...nf) です。

    白色雑音の場合、モーダル応答の平均2乗応答は解析的に計算されます:

    (関係式 3)

    (関係式 4)

    (関係式 5)



トピックについてフィードバックを送信

ヘルプに関してフィードバックを送信することができます。しかし、ドキュメンテーション グループはテクニカル サポートに関する質問に答えることはできません。 テクニカル サポートに関する情報はここをクリックしてください

* 必要項目

 
*電子メール:  
件名:   トピックのフィードバック
ページ:   積分法(Methods of Integration)
*コメント:  
*   プライバシー ポリシーを読み、個人情報が Dassault Systèmes によって使用されることに同意します。

トピックの印刷

印刷するコンテンツの範囲を選択:

x

Internet Explorer 7 より古いブラウザ バージョンが検知されました。 表示を最適化するにはInternet Explorer 7 以上のブラウザ バージョンにアップグレードしてください。

 今後このメッセージを表示しない
x

Web ヘルプ コンテンツ バージョン: SOLIDWORKS 2013 SP05

SOLIDWORKS で Web ヘルプを無効にして、ローカル ヘルプを使用するには、ヘルプ > SOLIDWORKS Web ヘルプ使用 をクリックしてください。

Web ヘルプのインタフェースや検索機能に関する問題は、お客様のサポート担当者までご連絡ください。各トピック ページの「トピックについてフィードバックする」リンクを使用し、各ヘルプ トピックについてフィードバックを送信することもできます。