Линейная упругая изотропная модель

Материал называется изотропным в случае неизменности свойств данного материала в различных направлениях.

Изотропные материалы имеют одинаковый модуль упругости, коэффициент Пуассона, коэффициент теплового расширения, теплопроводность и пр. во всех направлениях. В некоторых случаях, термин "изотермический" используется для обозначения материалов без предпочтительного направления для коэффициентов теплового расширения.

Для определения изотропных упругих свойств, следует назначить модуль упругости E. Программой используется значение 0,0 для коэффициента Пуассона v, в случае отсутствия определенного значения. Общепринятым значением коэффициента Пуассона является 0,3.

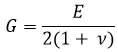
Модуль сдвига G рассчитывается программой по формуле:

Не нужно вводить значение модуля сдвига для линейного эластичного изотропного материала. Программа игнорирует введенное значение модуля сдвига и рассчитывает его по указанной выше формуле.

Матрица жесткости изотропного материала включает только два независимых коэффициента. В следующем разделе, описываются изотропные отношения напряжения-деформации в двух и трех измерениях, включая эффект тепловой деформации.

Наиболее общая форма изотропных отношений напряжения-деформации, включая тепловые эффекты, приведена ниже: