В противоположность изотропному материалу, ортотропный материал имеет предпочтительные взаимно перпендикулярные направления прочности. Свойства вдоль данных направлений (также, называемых главными направлениями) характеризуются крайними значениями коэффициентов упругости.
Матрица [D] для изотропного материала имеет девять независимых свойств упругости. В дополнение, существуют три свойства для теплового расширения.
Двухмерные ортотропные отношения напряжения-деформации
В двух измерениях, ортотропные отношения напряжения-деформации могут быть представлены в следующем виде, включая тепловые эффекты:

Обратите внимание на необходимость удовлетворения требования симметрии матрицы модуля упругости: νxy Ey = νyx Ex.
Вышеуказанное условие симметрии удовлетворяется вводом числовых значений в модуль упругости или коэффициент Пуассона.
В дальнейшем, в случае отсутствия числовых значений для модуля сдвига, программа производит расчет, в соответствии с указанным ниже:

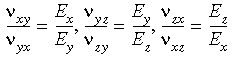
В трех измерениях, условия ортотропной симметрии требуют:
При вводе свойств ортотропного материала в трех измерениях, следует убедиться в сохранении указанных выше условий симметрии.
При вводе числовых значений для модулей сдвига (Gxy, Gyz и Gxz) программа будет использовать эти определенные пользователем значения (даже если они не совместимы с условиями ортотропной симметрии).
Следует обратить внимание: в случае отсутствия числовых значения для модуля сдвига, программа производит расчет, в соответствии с указанным ниже:
Если Ex = Ey = Ez, программа рассчитывает модули сдвига даже в случае явного указания данного значения.
Программой принимаются значения 0,0 для коэффициентов Пуассона при отсутствии явного указания значений.