Expand EinführungEinführung
Expand VerwaltungVerwaltung
Expand BenutzeroberflächeBenutzeroberfläche
Expand Grundlagen von SOLIDWORKSGrundlagen von SOLIDWORKS
Expand Umsteigen von 2D auf 3DUmsteigen von 2D auf 3D
Expand BaugruppenBaugruppen
Expand CircuitWorksCircuitWorks
Expand KonfigurationenKonfigurationen
Expand SOLIDWORKS CostingSOLIDWORKS Costing
Expand Design CheckerDesign Checker
Expand Konstruktionsstudien in SOLIDWORKSKonstruktionsstudien in SOLIDWORKS
Expand Detaillierung und ZeichnungenDetaillierung und Zeichnungen
Expand DFMXpressDFMXpress
Expand DriveWorksXpressDriveWorksXpress
Expand FloXpressFloXpress
Expand SLDXML-DatenaustauschSLDXML-Datenaustausch
Expand Importieren und ExportierenImportieren und Exportieren
Expand ModellanzeigeModellanzeige
Expand GussformkonstruktionGussformkonstruktion
Expand BewegungsstudienBewegungsstudien
Expand Teile und FeaturesTeile und Features
Expand LeitungsführungLeitungsführung
Expand BlechBlech
Collapse SimulationSimulation
Expand SimulationXpressSimulationXpress
Expand SkizzierenSkizzieren
Expand Sustainability ProdukteSustainability Produkte
Expand SOLIDWORKS MBDSOLIDWORKS MBD
Expand SOLIDWORKS UtilitiesSOLIDWORKS Utilities
Expand ToleranzenToleranzen
Expand TolAnalystTolAnalyst
Expand ToolboxToolbox
Expand SchweißkonstruktionenSchweißkonstruktionen
Expand Workgroup PDMWorkgroup PDM
Expand ProblembehebungProblembehebung
Glossar
Inhaltsverzeichnis ausblenden

Hyperelastisches Ogden-Modell

Die Ogden-Dehnungsenergiedichte-Funktion wird definiert als:

27.gif

Zeichenerklärung: λi sind die Hauptdehnungen, αi, μi sind Materialkonstanten und N ist die Anzahl der Ausdrücke in der Funktion. Diese Funktion wird als eine der hilfreichsten Funktionen zur Beschreibung großer Verformungen bei gummiartigen Materialien angesehen.

Die Pönalenfunktion, die in der Formel des Ogden-Modells verwendet wird, hat die Form der im Mooney-Rivlin-Modell verwendeten. Die verwendete Dehnungsenergie-Funktion ist eine modifizierte Art der Ogden-Funktion:

28.gif

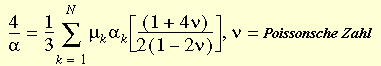
wobei J das Verhältnis des Verformungsvolumens zum nicht verformten Volumen ist, N die Anzahl der Ausdrücke in der Funktion ist, G(J) = J2-1 und Folgendes gilt:

29.gif

Modelle mit 3 Ausdrücken (Ogden modifiziert) sind weit verbreitet. Im Programm sind Modelle mit bis zu 4 Ausdrücken (N = 4) verfügbar.

Neben den oben genannten Materialkonstanten ist auch die Poissonsche Zahl erforderlich. In den meisten Fällen werden zufrieden stellende Ergebnisse mit einer Poissonschen Zahl zwischen 0.49 und 0.499 erzielt. Wenn die Poissonsche Zahl weiter erhöht wird, hat dies keinen merklichen Einfluss auf die numerischen Ergebnisse, es sei denn, es liegt beachtliche volumetrische Dehnung vor.

Wenn die Poissonsche Zahl ganz nahe an 0,5 herankommt, kann die Lösung abgebrochen werden, weil in der Steifigkeitsmatrix negative diagonale Ausdrücke auftreten oder keine Konvergenz vorhanden ist.

Die Materialeigenschaften für das Ogden-Modell werden in das Dialogfeld Material eingegeben. Die erforderlichen Größen lauten:
  • Zuerst durch vierte Leistungsmaterialkoeffizienten (αi)
  • Zuerst durch vierte Materialkonstanten (μi) (je nach der Anzahl der Konstanten).
  • Poissonsche Zahl


Feedback zu diesem Thema geben

SOLIDWORKS ist dankbar für Ihr Feedback zur Präsentation, Genauigkeit und Vollständigkeit der Dokumentation. Verwenden Sie das nachstehende Formular, um Ihre Kommentare und Vorschläge zu diesem Thema direkt an unser Dokumentations-Team zu senden. Das Dokumentations-Team kann keine Fragen für den technischen Support beantworten. Klicken Sie hier für Informationen zum technischen Support.

* Erforderlich

 
*E-Mail:  
Betreff:   Feedback zu Hilfethemen
Seite:   Hyperelastisches Ogden-Modell
*Kommentar:  
*   Ich bestätige, dass ich die Datenschutzerklärung, unter der meine personenbezogenen Daten durch Dassault Systèmes verarbeitet werden, gelesen habe und akzeptiere.

Thema drucken

Wählen Sie aus, was gedruckt werden soll:

x

Sie verwenden einen Browser, der älter als Internet Explorer 7 ist. Für eine optimierte Anzeige sollten Sie Ihren Browser auf Internet Explorer 7 oder höher aktualisieren.

 Diese Meldung nicht mehr anzeigen
x

Web-Hilfe Inhaltsversion: SOLIDWORKS 2015 SP05

Um die Web-Hilfe in SOLIDWORKS zu deaktivieren und stattdessen die lokale Hilfe zu verwenden, klicken Sie auf Help > SOLIDWORKS Web-Hilfe verwenden.

Um Probleme mit der Oberfläche und der Suche der Web-Hilfe zu melden, wenden Sie sich an Ihren Support vor Ort. Um Feedback zu einzelnen Hilfethemen zu geben, verwenden Sie den Link “Feedback zu diesem Thema” auf der entsprechenden Themenseite.