Expand EinführungEinführung
Expand VerwaltungVerwaltung
Expand BenutzeroberflächeBenutzeroberfläche
Expand Grundlagen von SOLIDWORKSGrundlagen von SOLIDWORKS
Expand Umsteigen von 2D auf 3DUmsteigen von 2D auf 3D
Expand BaugruppenBaugruppen
Expand CircuitWorksCircuitWorks
Expand KonfigurationenKonfigurationen
Expand SOLIDWORKS CostingSOLIDWORKS Costing
Expand Design CheckerDesign Checker
Expand Konstruktionsstudien in SOLIDWORKSKonstruktionsstudien in SOLIDWORKS
Expand Detaillierung und ZeichnungenDetaillierung und Zeichnungen
Expand DFMXpressDFMXpress
Expand DriveWorksXpressDriveWorksXpress
Expand FloXpressFloXpress
Expand SLDXML-DatenaustauschSLDXML-Datenaustausch
Expand Importieren und ExportierenImportieren und Exportieren
Expand ModellanzeigeModellanzeige
Expand GussformkonstruktionGussformkonstruktion
Expand BewegungsstudienBewegungsstudien
Expand Teile und FeaturesTeile und Features
Expand LeitungsführungLeitungsführung
Expand BlechBlech
Collapse SimulationSimulation
Expand SimulationXpressSimulationXpress
Expand SkizzierenSkizzieren
Expand Sustainability ProdukteSustainability Produkte
Expand SOLIDWORKS MBDSOLIDWORKS MBD
Expand SOLIDWORKS UtilitiesSOLIDWORKS Utilities
Expand ToleranzenToleranzen
Expand TolAnalystTolAnalyst
Expand ToolboxToolbox
Expand SchweißkonstruktionenSchweißkonstruktionen
Expand Workgroup PDMWorkgroup PDM
Expand ProblembehebungProblembehebung
Glossar
Inhaltsverzeichnis ausblenden

Hyperelastisches Mooney-Rivlin-Modell

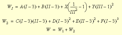
Die Mooney-Rivlin Dehnungsenergiedichte-Funktion wird wie folgt ausgedrückt:

25.gif

wobei I, II und III die Invarianten des rechten Cauchy-Green Verformungstensors sind und als Hauptdehnverhältnisse ausgedrückt werden können; A, B, C, D, E und F sind Mooney Materialkonstanten

Folgendes ist zu beachten: Wenn das Material sich der Komprimierungsgrenze nähert, strebt die dritte Invariante (III) gegen 1, während Y gegen Unendlich strebt. Daher bleibt für die Werte der Poissonschen Zahl in der Nähe von 0,5 der letzte Term in W1 begrenzt, und eine Lösung kann erhalten werden.

Das Mooney-Rivlin-Materialmodell kann mit Volumenkörperelementen und dickwandigen Schalen verwendet werden. Die Materialeigenschaften für das Mooney-Rivlin-Modell werden in das Dialogfeld Material eingegeben. Es können bis zu sechs Mooney-Rivlin-Konstanten eingegeben werden: Mooney_A, Mooney_B, Mooney_C, Mooney_D, Mooney_E und Mooney_F.

Die Mooney-Rivlin-Konstanten werden automatisch berechnet, wenn die Option Kurvendaten zur Berechnung der Materialkonstanten verwenden im Dialogfeld Material aktiviert ist. Die Konstanten werden im aktiven Ergebnisordner der Studie in einer Textdatei mit der Erweiterung '.log' gespeichert.



Feedback zu diesem Thema geben

SOLIDWORKS ist dankbar für Ihr Feedback zur Präsentation, Genauigkeit und Vollständigkeit der Dokumentation. Verwenden Sie das nachstehende Formular, um Ihre Kommentare und Vorschläge zu diesem Thema direkt an unser Dokumentations-Team zu senden. Das Dokumentations-Team kann keine Fragen für den technischen Support beantworten. Klicken Sie hier für Informationen zum technischen Support.

* Erforderlich

 
*E-Mail:  
Betreff:   Feedback zu Hilfethemen
Seite:   Hyperelastisches Mooney-Rivlin-Modell
*Kommentar:  
*   Ich bestätige, dass ich die Datenschutzerklärung, unter der meine personenbezogenen Daten durch Dassault Systèmes verarbeitet werden, gelesen habe und akzeptiere.

Thema drucken

Wählen Sie aus, was gedruckt werden soll:

x

Sie verwenden einen Browser, der älter als Internet Explorer 7 ist. Für eine optimierte Anzeige sollten Sie Ihren Browser auf Internet Explorer 7 oder höher aktualisieren.

 Diese Meldung nicht mehr anzeigen
x

Web-Hilfe Inhaltsversion: SOLIDWORKS 2015 SP05

Um die Web-Hilfe in SOLIDWORKS zu deaktivieren und stattdessen die lokale Hilfe zu verwenden, klicken Sie auf Help > SOLIDWORKS Web-Hilfe verwenden.

Um Probleme mit der Oberfläche und der Suche der Web-Hilfe zu melden, wenden Sie sich an Ihren Support vor Ort. Um Feedback zu einzelnen Hilfethemen zu geben, verwenden Sie den Link “Feedback zu diesem Thema” auf der entsprechenden Themenseite.