Tłumienie Rayleigh'a

Symetryczna macierz tłumienia [C] n x n jest tworzona jako liniowa kombinacja macierzy masy [M] i sztywności [K]:

(Równanie 1)

  • Współczynnik alfa: Określa współczynnik proporcjonalności masy α.
  • Współczynnik beta: Określa współczynnik proporcjonalności sztywności β.

Typ tłumienia opisany przez (Równanie 1) jest znany jako tłumienie Rayleigha lub tłumienie proporcjonalne.

Ta postać [C] jest ortogonalna względem wektorów własnych układu.

Stosując modalną transformację współrzędnych, uzyskuje się diagonalną macierz tłumienia modalnego [c]:

(Równanie 2)

Można zdefiniować tłumienie Rayleigh'a dla badań dynamicznych liniowych i nieliniowych.

Zależność współczynników Rayleigha i stosunku tłumienia modalnego

Macierz tłumienia modalnego [c] jest wyrażona wzorem:

(Równanie 3)

Współczynnik tłumienia lepkościowego ci dla i-tego modu jest obliczany jako:

(Równanie 4),

a stosunek tłumienia lepkościowego ζi jest wyrażony jako

(Równanie 5)

Jeżeli stosunki tłumienia dla i-tego i j-tego modu wynoszą ζi i ζj, współczynniki Rayleigha α i β są obliczane z rozwiązania dwóch równań algebraicznych:

(Równanie 6)

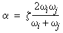
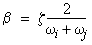
Jeżeli oba mody mają taki sam stosunek tłumienia (ζi = ζj = ζ), wartości α i β są wyrażone wzorem:

(Równanie 7) (Równanie 8)

Stosunek tłumienia lepkościowego ζ dla dowolnego innego modu zmienia się z częstotliwością, jak pokazano na rysunku: