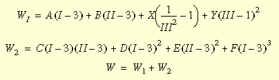
Funkce hustoty přetvárné energie Mooney-Rivlin je vyjádřena následovně:

kde I, II a III jsou konstanty správného deformačního tenzoru Cauchy-Green a mohou být vyjádřeny v podmínkách hlavního koeficientu pružnosti; A, B, C, D, E a F jsou konstanty materiálu Mooney, a

Uvědomte si, že jak se materiál blíží nestlačitelnosti, třetí konstanta, III, se blíží jedničce, zatímco Y se blíží nekonečnu. Pokud se tedy hodnoty Poissonových konstant blíží 0,5, poslední podmínka W1 zůstane ohraničená a může být získáno řešení.
Model materiálu Mooney-Rivlin je možné použít s objemovými elementy a tlustými skořepinami. Vlastnosti materiálů pro model Mooney-Rivlin jsou vstupní data v dialogovém okně Materiál. Může být zadáno až šest konstant Mooney-Rivlin: Mooney_A, Mooney_B, Mooney_C, Mooney_D, Mooney_E a Mooney_F.
Konstanty Mooney-Rivin jsou automaticky spočítány, když v dialogovém okně Materiál vyberete možnost Použijte data křivky pro výpočet konstant materiálu. Tyto konstanty jsou uloženy do textového souboru s příponou .log ve složce aktivních výsledků studie.