Lineární elastický izotropní model

Materiál považujeme za izotropní v případě, že se jeho vlastnosti nemění se směrem.

Izotropní materiály mají ve všech směrech shodný modul pružnosti, Poissonovu konstantu, součinitel tepelné roztažnosti materiálu, tepelnou vodivost atd. Termín izotermický se občas používá pro označení materiálů bez upřednostňovaných směrů pro koeficienty tepelné roztažnosti.

Pro definici izotropních elastických vlastností je nutné určit modul pružnosti E. V případě, že není určená žádná hodnota pro Poissonovu konstantu v, program automaticky použije hodnotu 0.0. Běžná hodnota pro Poissonovu konstantu je 0,3.

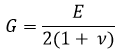
Modul pružnosti ve smyku G se vypočítává interně programem podle následujícího vzorce:

Pro lineárně elastický izotropní materiál nemusíte zadávat hodnotu modulu pružnosti ve smyku. Pokud zadáte hodnotu modulu pružnosti ve smyku, program ji ignoruje a vypočítá modul pružnosti ve smyku z výše uvedeného vzorce.

Matice tuhosti pro izotropní materiál obsahuje pouze dva nezávislé součinitele. Následující části popisují vztahy mezi izotropním napětím a namáháním ve dvou a třech rozměrech včetně vlivu na tepelná zatížení.

Nejobecnější forma vztahů mezi izotropním napětím a namáháním zahrnujících teplotní účinky je zobrazená níže: